Package Include
JCB 325T Skidsteer Loader Service Repair Manual
Language
English
File Format
PDF
Total Number of pages
1520
Publication Number
EN- 9813/7450- ISSUE 2- 12/2017
Compatible
Windows system / Mac system / Android / IOS / Chrome OS / Any device capable of opening a PDF file
Additional Requirement
User must have any software that can open the pdf format
Shipping Policy
All of our products are digital and hence supplied immediately upon purchase.Once your purchase is complete, you will have immediate access to the product via a download link. Total download size: 203 MB
With This Service Repair Manual The Technician can solve any problems encountered in the operation of your JCB Skidsteer Loader
Compatible Machine Models JCB 325T Skidsteer Loader
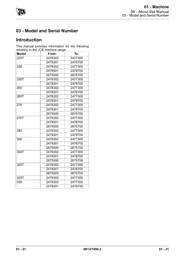
Compatible Serial Numbers Range
From 2476302 To 2477300
With this original factory Service manual, the technician can detect and solve any problems encountered when repairing your JCB 325T Skidsteer Loader and This workshop repair manual for the JCB 325T Skidsteer Loader provides detailed instructions and technical information for maintenance and repair tasks to keep your equipment in top condition.
More about this service manual
The JCB 325T Skidsteer Loader Service Repair Manual provides essential guidance for maintenance and repairs. It includes detailed steps for troubleshooting common issues. Users can find diagrams and specifications that help identify parts and functions. The manual covers hydraulic systems, electrical issues, and engine care. Knowing how to follow this guide can extend the life of the machine. It serves as a valuable resource for operators and technicians alike, ensuring efficient operation. Regular reference to the manual can prevent costly repairs and downtime. Proper service enhances performance and safety on any job site.
Main Contents of this Service Repair Manual
Machine
Attachments, Couplings and Load Handling
Body and Framework
Operator Station
Heating, Ventilating and Air Conditioning (HVAC)
Engine
Fuel and Exhaust System
Cooling System
Brake System
Steering System
Driveline
Hydraulic System
Electrical System
Fasteners and Fixings
Consumable Products
After Sales
This publication is designed for the benefit of JCB Distributor Service Engineers who are receiving, or have received, training by JCB Technical Training Department.
These personnel should have a sound knowledge of workshop practice, safety procedures, and general techniques associated with the maintenance and repair of hydraulic Earthmoving equipment.
Original Factory Service Repair Manual for the JCB 325T Skidsteer Loader. This manual is very detailed and contains all the official JCB manufacturer specifications, troubleshooting, repair instructions step by step with illustrations and wiring diagrams. Simple to complicated repairs can be completed effortlessly with the information provided. It is 100 percent complete and intact. The manual is specifically written for the DIY as well as the experienced mechanic
This Service manual is very easy to understand, fully printable, and includes original instructions that have been approved by the manufacturer or an authorized representative. It also includes high-quality photographs and diagrams.
The JCB 325T Skidsteer Loader Service Repair Manual is an essential resource for any owner or technician looking to maintain and repair this powerful machine with confidence. This comprehensive manual provides detailed instructions, diagrams, and specifications that cover every aspect of the 325T, ensuring that you have the knowledge needed to troubleshoot issues effectively and perform routine maintenance with ease. From engine diagnostics to hydraulic system repairs, each section is meticulously organized to facilitate quick reference and understanding. With this manual at your fingertips, you can extend the lifespan of your skidsteer loader, enhance its performance, and minimize downtime, making it an invaluable addition to your equipment toolkit. Invest in the JCB 325T Service Repair Manual today and empower yourself with the expertise to keep your machinery running smoothly and efficiently






